91制片厂公告
91制片厂 2026年学术学位博士生招生复试名单
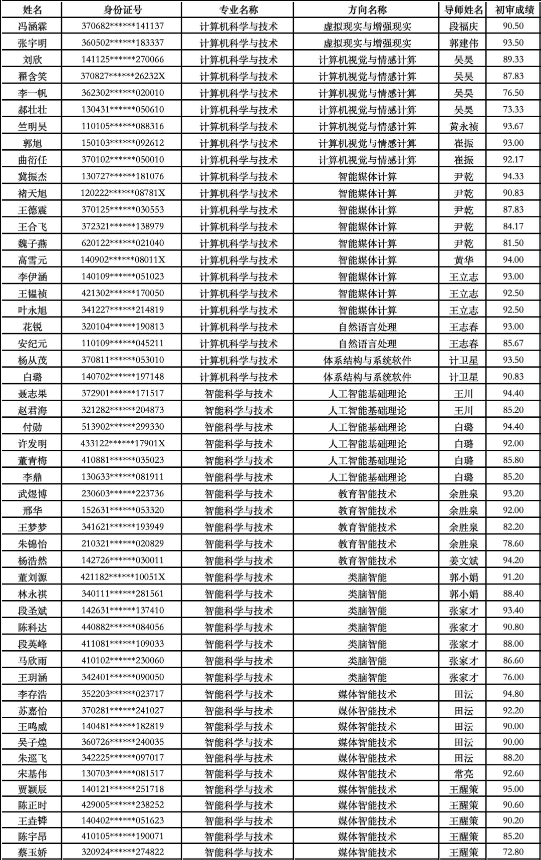
91制片厂 2026年学术学位博士生初审合格的考生,学院依据初审成绩分专业按导师排序,择优确定复试名单。博士招生复试考核安排,敬请关注后续通知。

联系电话:010-58807943
邮编:100875
地址:北京市海淀区新外大街19号电子楼

京师智能E家

学院官方微信
© 版权所有 91制片厂-黄色直播网站|成人免费色情
91制片厂 2026年学术学位博士生初审合格的考生,学院依据初审成绩分专业按导师排序,择优确定复试名单。博士招生复试考核安排,敬请关注后续通知。

联系电话:010-58807943
邮编:100875
地址:北京市海淀区新外大街19号电子楼

